首頁 > 產品訊息 > 微管束

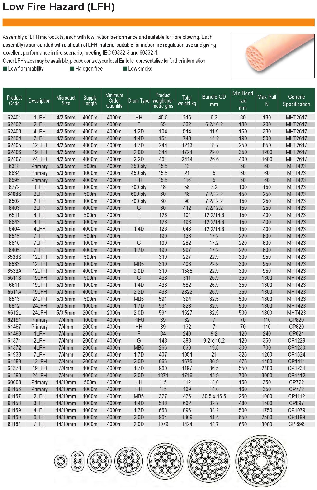
戶內型低煙無鹵微管束

戶內型低煙無鹵微管束

產品概述:

戶內型氣吹式微管以低煙無鹵PE材質構成,每條微管束外被同樣以低煙無鹵PE材質包覆,其特性如下:

 

※ 管束外被覆以低煙無鹵PE材質製成

 

※ 不含硫、磷、氮、鹵素及重金屬等元素

 

※ 具使用彈性,適合於室內安裝

 

※ 符合 IEC60332-1/-3耐燃特性、IEC60794-1-2機械特性

   (耐彎曲、耐空壓、壓輾)試驗通過

 

※ 採用耐燃低發煙量LDPE材料,可燃性低

 

※ 適用於集合住宅管道或屋內線槽。

 

※ 主要微管數:1、2、4、7、12、19、24MT微管束。

更多說明
Back